반응형
2022.06.07 - [자료구조] - [자료구조] Linked List - (3) 노드 삽입 (at the end)
본 글에서는 위의 글에 이어서 새로운 노드를 Linked List 맨 앞에 추가하는 방법을 다룸.
(1) 새로운 노드를 Linked List 맨 앞에 추가
(2) 새로운 노드를 Linked List 맨 뒤에 추가
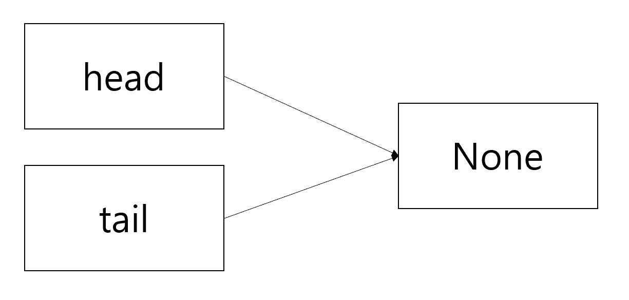
1) LinkedList 클래스를 정의
- 클래스의 instance 변수로 head와 tail이 있고 모두 None값으로 초기화
class LinkedList:
def __init__(self):
self.head = None
self.tail = None

head가 None을 가리키면, LinkedList에 아직 Node가 하나도 없는 상태.
2) 빈 Linked List에 새로운 node 추가
node가 새롭게 추가되면 head가 새로 추가된 node를 가리킴.
총 1개의 node만 있으므로 tail로 새로 추가된 node를 가리킴.
new_node = Node(1) # 새로운 노드 추가
if self.head is None: # head가 None을 가리키면,
self.head = new_node
self.tail = new_node

3) Node가 있는 Linked List에 새로운 node 추가
여기에 다시 새로운 node를 추가.
new_node = Node(2)

Linked List로 연결되기 위해서는 새로운 노드의 next가 head가 가리키는 노드를 가리켜야 함
new_node.next = self.head

그리고 head는 새로 추가된 노드를 가리켜야함.
self.head = new_node

마지막으로 새로운 노드 하나 더 추가.
new_node = Node(3)

새로운 노드의 next가 head가 가리키는 노드를 가리켜야 함.
new_node.next = self.head

마지막으로 head가 새로 추가된 노드를 가리키도록 업데이트
self.head = new_node

위의 과정을 'push' 라는 이름의 method로 변환하면 아래와 같음.
# linked list 처음에 노드 추가
def push(self, new_data):
new_node = Node(new_data)
if self.head is None:
self.tail = new_node
else:
new_node.next = self.head
self.head = new_node
- push 메소드는 항상 처음에 노드를 추가하기 때문에 Time complexity가 항상 O(1)이다.
최종코드
class Node:
def __init__(self, data):
self.data = data
self.next = None
class LinkedList:
def __init__(self):
self.head = None
self.tail = None
# linked list 끝에 노드 추가
def append(self, new_data):
new_node = Node(new_data)
if self.head is None:
self.head = new_node
else:
self.tail.next = new_node
self.tail = new_node
# linked list 처음에 노드 추가
def push(self, new_data):
new_node = Node(new_data)
if self.head is None:
self.tail = new_node
else:
new_node.next = self.head
self.head = new_node
반응형
'자료구조' 카테고리의 다른 글
| [자료구조] Linked List - (6) 노드 삭제 (0) | 2022.06.12 |
|---|---|
| [자료구조] Linked List - (5) 데이터 조회 (0) | 2022.06.12 |
| [자료구조] Linked List - (3) 노드 삽입 (at the end) (0) | 2022.06.07 |
| [자료구조] Linked List - (2) 간단 개념 구현 (0) | 2022.06.05 |
| [자료구조] Linked List - (1) 개념 (0) | 2022.05.25 |