2022.06.05 - [자료구조] - [자료구조] Linked List - (2) 간단 개념 구현
[자료구조] Linked List - (2) 간단 개념 구현
본 글에서는 이전 Linked List 글에서 언급한 Node를 구현. 최대한 간단히 Node 클래스만을 이용해서 어떻게 node들이 연결될 수 있는지에 대해 설명. Node 클래스 정의 class Node: def __init__(self, data=None..
wschoi.tistory.com
본 글에서는 위의 글에 이어서 Linked List에 노드를 추가하는 방법을 다룸. 노드를 추가하는 방법이 크게 2가지가 있음.
(1) 새로운 노드를 Linked List 맨 앞에 추가
(2) 새로운 노드를 Linked List 맨 뒤에 추가 (본 글에서 다룸)
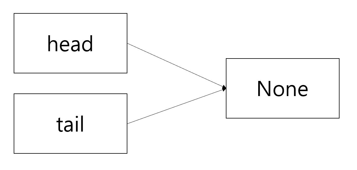
1) LinkedList 클래스를 정의
- 클래스의 instance 변수로 head와 tail이 있고 모두 None값으로 초기화
class LinkedList:
def __init__(self):
self.head = None
self.tail = None

head가 None을 가리키면, LinkedList에 아직 Node가 하나도 없는 상태.
2) 빈 Linked List에 새로운 node 추가
node가 새롭게 추가되면 head가 새로 추가된 node를 가리킴.
총 1개의 node만 있으므로 tail로 새로 추가된 node를 가리킴.
new_node = Node(1) # 새로운 노드 추가
if self.head is None: # head가 None을 가리키면,
self.head = new_node
self.tail = new_node

3) Node가 있는 Linked List에 새로운 node 추가
여기에 다시 새로운 node를 추가.
new_node = Node(2)

Linked List로 연결되기 위해서는 head와 tail이 가리키는 노드의 next가 새로운 노드를 가리켜야함.
self.tail.next = new_node

그리고 tail은 새로 추가된 노드를 가리켜야함.
self.tail = new_node

마지막으로 새로운 노드 하나 더 추가.
new_node = Node(3)

tail이 가리키는 노드의 next가 새로운 노드를 가리켜야함.
self.tail.next = new_node

마지막으로 tail이 새로 추가된 노드를 가리키도록 업데이트
self.tail = new_node

위의 과정을 'append' 라는 이름의 method로 변환하면 아래와 같음.
# linked list 끝에 노드 추가
def append(self, new_data):
new_node = Node(new_data)
if self.head is None:# 기존에 node가 없는 경우
self.head = new_node
else: # 기존에 node가 있는 경우
self.tail.next = new_node
self.tail = new_node
- self.tail = new_node는 if-else 문에서 공통이므로 바깥으로 빼줌
최종코드
class Node:
def __init__(self, data):
self.data = data
self.next = None
class LinkedList:
def __init__(self):
self.head = None
self.tail = None
# linked list 끝에 노드 추가
def append(self, new_data):
new_node = Node(new_data)
if self.head is None:# 기존에 node가 없는 경우
self.head = new_node
else: # 기존에 node가 있는 경우
self.tail.next = new_node
self.tail = new_node
참고)
1. Linked List 클래스에서 tail 이라는 인스턴스 변수를 사용함으로써, append 메소드의 time complexity가 O(1)을 유지한다. 변수를 사용하지 않는 경우는 head 노드부터 끝 노드까지 loop를 이용해 찾은 후 node를 추가해야하기 때문에 time complexity가 O(n)이 된다. (n은 노드 수)
'자료구조' 카테고리의 다른 글
| [자료구조] Linked List - (6) 노드 삭제 (0) | 2022.06.12 |
|---|---|
| [자료구조] Linked List - (5) 데이터 조회 (0) | 2022.06.12 |
| [자료구조] Linked List - (4) 노드 삽입 (at the front) (0) | 2022.06.08 |
| [자료구조] Linked List - (2) 간단 개념 구현 (0) | 2022.06.05 |
| [자료구조] Linked List - (1) 개념 (0) | 2022.05.25 |